CONTEÚDO
RESOLUÇÃO CMN Nº 4.444, DE 13.11.2015
Dispõe sobre as normas que disciplinam a aplicação dos recursos das reservas técnicas, das provisões e dos fundos das sociedades seguradoras, das sociedades de capitalização, das entidades abertas de previdência complementar e dos resseguradores locais, sobre as aplicações dos recursos exigidos no País para a garantia das obrigações de ressegurador admitido e sobre a carteira dos Fundos de Aposentadoria Programada Individual (Fapi).
O Banco Central do Brasil, na forma do art. 9º da Lei nº 4.595, de 31 de dezembro de 1964, torna público que o Conselho Monetário Nacional, em sessão extraordinária realizada em 12 de novembro de 2015, tendo em vista o disposto nos arts. 28 do Decreto-Lei nº 73, de 21 de novembro de 1966, 4º do Decreto-Lei nº 261, de 28 de fevereiro de 1967, 1º da Lei nº 9.477, de 24 de julho de 1997, 9º da Lei Complementar nº 109, de 29 de maio de 2001, e 17 da Lei Complementar nº 126, de 15 de janeiro de 2007,
RESOLVEU:
Art. 1º Ficam estabelecidas, nos termos do Regulamento anexo, as normas que disciplinam a aplicação dos recursos das reservas técnicas, das provisões e dos fundos, conforme disposto nas respectivas leis que tratam do assunto, das sociedades seguradoras, das sociedades de capitalização, das entidades abertas de previdência complementar e dos resseguradores locais, bem como a aceitação dos ativos correspondentes como garantidores dos respectivos recursos, na forma da legislação e da regulamentação em vigor, e as aplicações dos recursos exigidos no País para a garantia das obrigações de ressegurador admitido.
Art. 2º O art. 12 do Regulamento anexo à Resolução nº 2.424, de 1º de outubro de 1997, passa a vigorar com a seguinte redação:
“Art. 12. Aplicam-se às carteiras de investimentos dos Fapi as diretrizes, os requisitos, as modalidades, os limites de alocação por ativo e modalidade, os limites por emissor, as regras para operações com derivativos e operações compromissadas, e os prazos aplicáveis ao segmento de planos abertos de previdência complementar e de seguros de pessoas com cobertura por sobrevivência destinados para Participantes Qualificados de Previdência Complementar durante o prazo de diferimento.” (NR)
Art. 3º Esta Resolução entrará em vigor 180 (cento e oitenta) dias após a data de sua publicação.
Art. 4º Ficam revogadas as Resoluções nºs 3.308, de 31 de agosto de 2005, 3.358, de 31 de março de 2006, 3.543, de 28 de fevereiro de 2008, 3.557, de 27 de março de 2008, 4.026, de 27 de outubro de 2011, 4.176, de 2 de janeiro de 2013, 4.221, de 23 de maio de 2013, e 4.402, de 26 de março de 2015.
Alexandre Antonio Tombini
Presidente do Banco Central do Brasil
(DOU de 13.11.2015, Ed. Extra - Seção 1 - págs. 1-5, republicado em 24.11.2015 - págs. 17-20, retificado em 25.11.2015 - pág. 23)
ANEXO
CAPÍTULO I
DOS RECURSOS E DA ACEITAÇÃO DE ATIVOS COMO GARANTIDORES
Art. 1º Os recursos das reservas técnicas, das provisões e dos fundos das sociedades seguradoras, das sociedades de capitalização, das entidades abertas de previdência complementar e dos resseguradores locais, conforme disposto nas respectivas leis que tratam do assunto, devem ser aplicados conforme as diretrizes estabelecidas nos Capítulos II a VII, IX e X deste Regulamento, enquanto os recursos exigidos no País para a garantia das obrigações de ressegurador admitido devem ser aplicados conforme disposto no Capítulo VIII.
CAPÍTULO II
DAS DIRETRIZES E REQUISITOS PARA APLICAÇÃO
Seção I
Das Diretrizes para Aplicação dos Recursos
Art. 2º Na aplicação dos recursos de que trata este Regulamento, as sociedades seguradoras, as sociedades de capitalização, as entidades abertas de previdência complementar e os resseguradores devem:
I - observar os princípios de segurança, rentabilidade, solvência, liquidez, diversificação, adequação à natureza de suas obrigações e transparência;
II - exercer suas atividades com boa fé, lealdade e diligência;
III - zelar por elevados padrões éticos;
(Nota: Redação dada, a partir de 01.01.2020, pela Resolução nº 4.769, de 19.12.2019.)
IV - adotar práticas que visem garantir o cumprimento de suas obrigações, considerando, inclusive, a política de investimentos estabelecida, observadas as modalidades, segmentos, limites e demais critérios e requisitos estabelecidos neste Regulamento; e
(Nota: Redação dada, a partir de 01.01.2020, pela Resolução nº 4.769, de 19.12.2019.)
V - observar, sempre que possível, os aspectos relacionados à sustentabilidade econômica, ambiental, social e de governança dos investimentos.
(Nota: Incluído, a partir de 01.01.2020, pela Resolução nº 4.769, de 19.12.2019.)
Seção II
Dos Requisitos dos Ativos
Art. 3º A emissão, a distribuição e a negociação dos títulos e valores mobiliários devem observar as normas estabelecidas pelo Banco Central do Brasil e pela Comissão de Valores Mobiliários.
§ 1º Os títulos e valores mobiliários devem ter liquidação financeira, ou a previsão para entrega dos respectivos ativos financeiros subjacentes, desde que sejam passíveis de serem aceitos como garantidores dos recursos das reservas técnicas, das provisões e dos fundos, conforme disposto nas respectivas leis que tratam do assunto, das sociedades seguradoras, das sociedades de capitalização, das entidades abertas de previdência complementar e dos resseguradores.
§ 2º Não serão considerados como ativos garantidores as ações, títulos, valores mobiliários ou qualquer obrigação de emissão da própria sociedade seguradora ou da sociedade de capitalização ou da entidade aberta de previdência complementar ou do ressegurador local, bem como as ações, títulos, valores mobiliários e obrigações emitidos por partes relacionadas ou adquiridos através de transações comerciais ou financeiras com partes relacionadas.
(Nota: Redação dada, a partir de 01.01.2020, pela Resolução nº 4.769, de 19.12.2019.)
§ 3º Para fins deste Regulamento, são partes relacionadas à sociedade seguradora, à sociedade de capitalização, à entidade aberta de previdência complementar ou ao ressegurador local:
I - as entidades controladas, diretamente ou por meio de outras entidades controladas, ou cujo controle seja compartilhado;
II - as entidades pertencentes ao mesmo grupo econômico, ou seja, entidades controladoras e as entidades por elas controladas, bem como as entidades sob controle comum;
(Nota: Redação dada, a partir de 01.01.2020, pela Resolução nº 4.769, de 19.12.2019.)
III - as respectivas entidades coligadas, entendidas estas como as que:
a) a investidora tem influência significativa, detendo ou exercendo o poder de participar nas decisões das políticas financeira ou operacional da investida; ou
b) a investidora for titular de 20% (vinte por cento) ou mais do capital votante da investida.
(Nota: Redação dada, a partir de 01.01.2020, pela Resolução nº 4.769, de 19.12.2019.)
IV - administradores ou membros de conselhos estatutários da sociedade seguradora ou da sociedade de capitalização ou da entidade aberta de previdência complementar ou do ressegurador local e respectivos cônjuges ou companheiros e parentes até o segundo grau; e
(Nota: Incluído, a partir de 01.01.2020, pela Resolução nº 4.769, de 19.12.2019.)
V - entidades em que as pessoas mencionadas no inciso IV detenham participação igual ou superior a 10% (dez por cento) do capital.
(Nota: Incluído, a partir de 01.01.2020, pela Resolução nº 4.769, de 19.12.2019.)
§ 4º O disposto no § 2º deste artigo não se aplica às ações integrantes de índice de mercado quando alocadas em carteiras de fundos de investimentos para os quais o referido índice seja referência para a política de investimentos do fundo, desde que respeitada a proporção de participação de cada ação na composição do referido índice.
(Nota: Redação dada, a partir de 22.05.2016, pela Resolução nº 4.484, de 06.05.2016.)
Art. 4º Somente serão considerados ativos garantidores os ativos financeiros que sejam registrados em sistemas de registros, objeto de custódia ou objeto de depósito centralizado, em todos os casos em instituições autorizadas pelo Banco Central do Brasil ou pela Comissão de Valores Mobiliários, nas suas respectivas áreas de competência, para desempenhar as referidas atividades, observado o disposto no § 3º do art. 11 deste Regulamento.
(Nota: Redação dada, a partir de 01.01.2020, pela Resolução nº 4.769, de 19.12.2019.)
Art. 5º Os títulos e valores mobiliários devem ser objeto de registro, com identificação do titular, de depósito centralizado em conta individualizada em nome da seguradora, da sociedade de capitalização, da entidade aberta de previdência complementar ou do ressegurador local, ou objeto de custódia, em todos os casos em instituições autorizadas pelo Banco Central do Brasil ou pela Comissão de Valores Mobiliários, nas suas respectivas áreas de competência, para desempenhar as referidas atividades.
§ 1º Os sistemas de registro devem permitir a identificação da seguradora, da sociedade de capitalização, da entidade aberta de previdência complementar ou do ressegurador local com a consequente segregação do patrimônio destas do patrimônio do agente custodiante ou liquidante.
§ 2º As disponibilidades deverão permanecer depositadas em instituições financeiras autorizadas a funcionar pelo Banco Central do Brasil.
Art. 6º É vedada a aquisição de cotas de fundos de investimento, cuja atuação, direta ou indireta, em mercados de derivativos gere, a qualquer tempo, a possibilidade de perda superior ao valor do patrimônio líquido do fundo de investimento ou que obrigue o cotista a aportar recursos adicionais para cobrir o prejuízo do fundo.
(Nota: Redação dada, a partir de 01.01.2020, pela Resolução nº 4.769, de 19.12.2019.)
CAPÍTULO III
DOS INVESTIMENTOS
Seção I
Das Modalidades para Aplicação de Recursos
Art. 7º Observadas as limitações e as demais condições estabelecidas neste Regulamento, os recursos somente poderão ser alocados nas seguintes modalidades:
I - renda fixa;
II - renda variável;
III - imóveis;
IV - investimentos sujeitos à variação cambial; e
V - outros.
Seção II
Dos Ativos e Limites por Modalidade
Subseção I
Da Modalidade Renda Fixa
Art. 8º Na aplicação dos recursos de que trata este Regulamento, devem ser observados os seguintes limites e ativos admitidos:
I - até 100% (cem por cento) no somatório dos seguintes ativos:
a) títulos da Dívida Pública Mobiliária Federal interna;
b) créditos securitizados pela Secretaria do Tesouro Nacional;
c) cotas de fundos de investimento, constituídos sob a forma de condomínio aberto e com a finalidade específica de receber recursos de reservas técnicas e provisões, cujas carteiras estejam representadas exclusivamente pelos títulos referidos nas alíneas “a” e “b” deste inciso, posições em mercados de derivativos e disponibilidades de caixa, que poderão ser investidas em operações compromissadas, dos quais as sociedades seguradoras, as sociedades de capitalização, as entidades abertas de previdência complementar ou os resseguradores locais sejam os únicos cotistas e as cotas de fundos de investimento em cotas de fundos de investimento com tais características, conforme regulamentação em vigor (Fundo de Investimento Especialmente Constituído de Títulos Públicos); e
(Nota: Redação dada, a partir de 01.01.2020, pela Resolução nº 4.769, de 19.12.2019.)
d) cotas de fundos de investimento admitidas à negociação no mercado secundário por intermédio de bolsa de valores cujas carteiras de ativos financeiros visem refletir as variações e rentabilidade de índice de renda fixa composto exclusivamente pelos títulos referidos nas alíneas “a” e “b” deste inciso, ressalvadas as disponibilidades de caixa permitidas pela regulamentação em vigor (Fundo de Índice de Títulos Públicos), conforme regulamentação estabelecida pela Comissão de Valores Mobiliários;
II - até 75% (setenta e cinco por cento) no somatório dos seguintes ativos:
(Nota: Redação dada pela Resolução nº 4.449, de 20.11.2015.)
a) valores mobiliários ou outros ativos financeiros de renda fixa emitidos por companhia aberta cuja oferta pública tenha sido registrada na Comissão de Valores Mobiliários, ou que tenha sido objeto de dispensa;
(Nota: Redação dada pela Resolução nº 4.449, de 20.11.2015.)
b) debêntures de infraestrutura emitidas na forma disposta no art. 2º da Lei nº 12.431, de 24 de junho de 2011, por sociedade por ações, aberta ou fechada, cuja oferta pública tenha sido registrada na Comissão de Valores Mobiliários, ou que tenha sido objeto de dispensa, e que possuam garantia de títulos públicos federais que representem pelo menos 30% (trinta por cento) do principal na data de vencimento dos compromissos estipulados na escritura de emissão, observadas as normas da Comissão de Valores Mobiliários;
(Nota: Redação dada, a partir de 22.05.2016, pela Resolução nº 4.484, de 06.05.2016.)
III - até 50% (cinquenta por cento) no somatório dos seguintes ativos:
a) obrigações ou coobrigações de instituições financeiras autorizadas a funcionar pelo Banco Central do Brasil;
b) cotas de fundos de investimento, constituídos sob a forma de condomínio aberto, cuja carteira tenha como principal fator de risco a variação da taxa de juros doméstica, ou de índice de preços ou ambos, ou cotas de fundos de investimento em cotas de fundos de investimento com tais características (Fundos Renda Fixa), conforme regulamentação estabelecida pela Comissão de Valores Mobiliários; e
c) cotas de fundos de investimento admitidas à negociação no mercado secundário por intermédio de bolsa de valores, na forma regulamentada pela Comissão de Valores Mobiliários, cujas carteiras sejam compostas por ativos financeiros que busquem refletir as variações e rentabilidade de índices de referência de renda fixa (Fundo de Índice de Renda Fixa);
(Nota: Redação dada, a partir de 01.01.2020, pela Resolução nº 4.769, de 19.12.2019.)
IV - até 25% (vinte e cinco por cento) no somatório dos seguintes ativos:
a) valores mobiliários ou outros ativos financeiros de renda fixa cuja oferta pública tenha sido registrada na Comissão de Valores Mobiliários, ou que tenha sido objeto de dispensa, emitidos por sociedade de propósito específico (SPE) constituída sob a forma de sociedades por ações, excetuada a hipótese prevista no inciso II, alínea “b”, deste artigo;
(Nota: Redação dada, a partir de 22.05.2016, pela Resolução nº 4.484, de 06.05.2016.)
b) certificados de recebíveis de emissão de companhias securitizadoras, na forma regulamentada pela Comissão de Valores Mobiliários;
c) obrigações de organizações financeiras internacionais das quais o Estado brasileiro faça parte, admitidas à negociação no Brasil;
(Nota: Redação dada, a partir de 22.05.2016, pela Resolução nº 4.484, de 06.05.2016.)
d) cotas de classe sênior de fundos de investimento em direitos creditórios (FIDC) e as cotas de fundos de investimento em cotas de fundos de investimento em direitos creditórios (FICFIDC); e
e) títulos ou valores mobiliários de renda fixa não relacionados neste artigo, desde que com cobertura integral de seguro de crédito, observada a regulamentação específica do Conselho Nacional de Seguros Privados e da Superintendência de Seguros Privados.
§ 1º Não serão admitidos na modalidade de que trata esta subseção ativos cuja remuneração esteja associada à variação cambial.
§ 2º Os fundos de investimento em cotas de fundos de investimento em direitos creditórios (FICFIDC) mencionados na alínea “d” do inciso IV deverão conter previsão em seu regulamento que exclua a possibilidade de investimento em cotas de classe subordinada.
§ 3º Não serão considerados como ativos garantidores mencionados na alínea “d” do inciso IV os Fundos de Investimento em Direitos Creditórios no âmbito do Programa de Incentivo à Implementação de Projetos de Interesse Social (FIDC-PIPS) e os Fundos de Investimento em Direitos Creditórios Não Padronizados (FIDC-NP), bem como os respectivos fundos de cotas com esses ativos, conforme regulamentação estabelecida pela Comissão de Valores Mobiliários.
(Nota: Redação dada, a partir de 22.05.2016, pela Resolução nº 4.484, de 06.05.2016.)
§ 4º O limite de que trata o inciso IV, para aplicação no ativo de que trata a alínea “a”, pode ser ampliado para 30% (trinta por cento) em se tratando de cotas de fundos de investimento na forma prevista no art. 3º da Lei nº 12.431, de 2011, ou debêntures emitidas por SPE constituída sob a forma de sociedade por ações, aberta ou fechada, de certificados de recebíveis imobiliários e de cotas seniores de emissão de fundo de investimento em direitos creditórios padronizados ou não padronizados, constituídos sob a forma de condomínio fechado, de emissão ou cessão por concessionária, permissionária, autorizatária ou arrendatária, para captar recursos com vistas a implementar projetos de investimento na área de infraestrutura, na forma disposta no § 1º-A do art. 2º da Lei nº 12.431, de 2011.
(Nota: Redação dada, a partir de 22.05.2016, pela Resolução nº 4.484, de 06.05.2016.)
Subseção II
Da Modalidade Renda Variável
Art. 9º Na aplicação dos recursos de que trata este Regulamento, devem ser observados os seguintes limites e ativos admitidos:
I - até 100% (cem por cento) no somatório dos seguintes ativos:
a) ações de emissão de companhias abertas, correspondentes bônus de subscrição, recibos de subscrição e certificados de depósito, admitidas à negociação em segmento especial, instituído por bolsa de valores no Brasil, que assegurem, por meio de vínculo contratual entre a bolsa e o emissor, práticas diferenciadas de governança corporativa, que contemplem, pelo menos, a obrigatoriedade de no mínimo 25% (vinte e cinco por cento) de ações permanentemente em circulação (free float) e previsão expressa no estatuto social da companhia de que seu capital social seja dividido exclusivamente em ações ordinárias; e
b) cotas de fundos de investimento, constituídos sob a forma de condomínio aberto, cuja carteira seja composta exclusivamente pelas ações admitidas na alínea “a”, correspondentes bônus ou recibos de subscrição e de certificados de depósitos de tais ações, e as cotas de fundos de investimento em cotas de fundos de investimento com tais características, conforme regulamentação estabelecida pela Comissão de Valores Mobiliários.
(Nota: Redação dada, a partir de 22.05.2016, pela Resolução nº 4.484, de 06.05.2016.)
II - até 75% (setenta e cinco por cento) no somatório dos seguintes ativos:
a) ações de emissão de companhias abertas que permitam a existência de ações ON e PN (com direitos adicionais), correspondentes bônus de subscrição, recibos de subscrição e certificados de depósito, admitidas à negociação em segmento especial, instituído por bolsa de valores no Brasil, que contemplem previsão expressa no estatuto social da companhia de que o conselho de administração deve ser composto por no mínimo cinco membros, dos quais pelo menos 20% (vinte por cento) devem ser independentes com mandato unificado de até dois anos, conforme critério estabelecido pela bolsa de valores; e
b) cotas de fundos de investimento, constituídos sob a forma de condomínio aberto, cuja carteira seja composta exclusivamente pelas ações admitidas na alínea “a”, correspondentes bônus ou recibos de subscrição e de certificados de depósitos de tais ações, e as cotas de fundos de investimento em cotas de fundos de investimento com tais características, conforme regulamentação estabelecida pela Comissão de Valores Mobiliários;
(Nota: Redação dada, a partir de 22.05.2016, pela Resolução nº 4.484, de 06.05.2016.)
III - até 50% (cinquenta por cento) no somatório dos seguintes ativos:
a) ações de emissão de companhias abertas cuja composição do Conselho de Administração possua um mínimo de três membros (conforme legislação), com mandato unificado de até dois anos, admitidas à negociação em segmento especial, instituído por bolsa de valores no Brasil e correspondentes bônus de subscrição, recibos de subscrição e certificados de depósito;
b) cotas de fundos de investimento, constituídos sob a forma de condomínio aberto, cuja carteira seja composta exclusivamente pelas ações admitidas na alínea “a”, correspondentes bônus ou recibos de subscrição e de certificados de depósitos de tais ações, e as cotas de fundos de investimento em cotas de fundos de investimento com tais características, conforme regulamentação estabelecida pela Comissão de Valores Mobiliários;
(Nota: Redação dada, a partir de 22.05.2016, pela Resolução nº 4.484, de 06.05.2016.)
c) cotas de fundos de investimento admitidas à negociação no mercado secundário por intermédio de bolsa de valores cujas carteiras sejam compostas por ativos financeiros que busquem refletir as variações e rentabilidade de índices de referência de renda variável (Fundo de Índice de Renda Variável), conforme regulamentação estabelecida pela Comissão de Valores Mobiliários; e
(Nota: Redação dada, a partir de 22.05.2016, pela Resolução nº 4.484, de 06.05.2016.)
d) cotas de fundos de investimento, constituídos sob a forma de condomínio aberto, cuja carteira seja referenciada em índice composto por, no mínimo, 50 (cinquenta) ações divulgado por bolsa de valores no Brasil, correspondentes bônus ou recibos de subscrição e de certificados de depósitos de tais ações, e as cotas de fundos de investimento em cotas de fundos de investimento com tais características (Fundo referenciado em índice de ações), conforme regulamentação estabelecida pela Comissão de Valores Mobiliários;
(Nota: Incluída, a partir de 22.05.2016, pela Resolução nº 4.484, de 06.05.2016.)
IV - até 25% (vinte e cinco por cento) no somatório dos seguintes ativos:
a) ações sem percentual mínimo em circulação (free float), correspondentes bônus de subscrição, recibos de subscrição e certificados de depósito, admitidas à negociação em bolsa de valores no Brasil;
b) cotas de fundos de investimento, constituídos sob a forma de condomínio aberto, cuja carteira seja composta por ações admitidas à negociação em mercados organizados, bônus ou recibos de subscrição e de certificados de depósitos de tais ações, e as cotas de fundos de investimento em cotas de fundos de investimento com tais características, conforme regulamentação estabelecida pela Comissão de Valores Mobiliários;
(Nota: Redação dada, a partir de 22.05.2016, pela Resolução nº 4.484, de 06.05.2016.)
c) debêntures com participação nos lucros, ou conversíveis em ações ou permutáveis em ações, cuja oferta de distribuição tenha sido previamente registrada na Comissão de Valores Mobiliários, ou cujo registro tenha sido, por esta, dispensado.
Subseção III
Da Modalidade Imóveis
Art. 10. Serão admitidas aplicações de até 100% (cem por cento) em cotas de fundos de investimento imobiliário (FII) e em cotas de fundos de investimento em cotas de fundos de investimento com tais características (FICFII), conforme regulamentação estabelecida pela Comissão de Valores Mobiliários.
(Nota: Redação dada, a partir de 22.05.2016, pela Resolução nº 4.484, de 06.05.2016.)
Subseção IV
Da Modalidade Investimentos Sujeitos à Variação Cambial
Art. 11. Na aplicação dos recursos de que trata este Regulamento, devem ser observados os seguintes limites e ativos admitidos:
I - até 100% (cem por cento) no somatório dos seguintes ativos:
a) títulos da Dívida Pública Mobiliária Federal cuja remuneração seja associada à variação da cotação de moeda estrangeira;
b) cotas de fundos de investimento, constituídos sob a forma de condomínio aberto, cuja carteira seja composta por pelo menos 80% (oitenta por cento) de ativos relacionados à variação de preços de moeda estrangeira ou à variação do cupom cambial (Fundo de Investimento Cambial) ou cotas de fundos de investimento em cotas de fundos de investimento com tais características, conforme regulamentação estabelecida pela Comissão de Valores Mobiliários;
c) cotas de fundos de investimento de renda fixa, constituídos sob a forma de condomínio aberto, que tenha 80% (oitenta por cento), no mínimo, de seu patrimônio líquido representado por títulos representativos da dívida externa de responsabilidade da União ou cotas de fundos de investimento em cotas de fundos de investimento com tais características (Fundo de Renda Fixa Dívida Externa), conforme regulamentação estabelecida pela Comissão de Valores Mobiliários;
d) cotas de fundos de investimento, constituídos sob a forma de condomínio aberto, das classes Renda Fixa, Ações, Multimercado e Cambiais que incluam em sua denominação o sufixo “Investimento no Exterior”, ou cotas de fundos de investimento em cotas de fundos de investimento com tais características, conforme regulamentação estabelecida pela Comissão de Valores Mobiliários;
e) cotas de fundos de investimento admitidas à negociação no mercado secundário por intermédio de bolsa de valores, no Brasil, cujas carteiras sejam compostas por ativos financeiros que busquem refletir as variações de índices de referência em renda fixa ou renda variável no exterior (Fundo de Índice em Investimento no Exterior), desde que registrados na Comissão de Valores Mobiliários;
f) cotas de fundos de investimento classificados como Multimercado cuja política de investimento permita a compra de ativos ou derivativos com risco cambial, constituídos sob a forma de condomínio aberto, ou cotas de fundos de investimento em cotas de fundos de investimento com tais características (Fundos Multimercado), nas formas regulamentadas pela Comissão de Valores Mobiliários; e
g) Certificados de Operações Estruturadas (COEs) com Valor Nominal Protegido referenciados em taxas de câmbio ou variação cambial;
(Nota: Redação dada, a partir de 22.05.2016, pela Resolução nº 4.484, de 06.05.2016.)
II - até 75% (setenta e cinco por cento) no somatório dos seguintes ativos:
a) certificados de depósito de valores mobiliários com lastro em ações de emissão de companhia aberta ou assemelhada com sede no exterior - Brazilian Depositary Receipts (BDR), negociados em bolsa de valores no País; e
(Nota: Redação dada, a partir de 22.05.2016, pela Resolução nº 4.484, de 06.05.2016.)
b) cotas dos fundos de investimento que possuam em seu nome a designação “Ações - BDR Nível I”, constituídos sob a forma de condomínio aberto, conforme regulamentação estabelecida pela Comissão de Valores Mobiliários;
III - até 50% (cinquenta por cento) em títulos e valores mobiliários representativos de dívida corporativa de empresas brasileiras de capital aberto, emitidos e negociáveis no exterior;
(Nota: Redação dada, a partir de 22.05.2016, pela Resolução nº 4.484, de 06.05.2016.)
IV - até 25% (vinte e cinco por cento) no somatório dos seguintes títulos emitidos ou incondicionalmente garantidos por instituições financeiras no exterior em moeda estrangeira:
a) depósitos a prazo fixo por até seis meses, renováveis;
(Nota: Redação dada, a partir de 01.01.2020, pela Resolução nº 4.769, de 19.12.2019.)
b) certificados de depósitos; e
(Nota: Redação dada, a partir de 01.01.2020, pela Resolução nº 4.769, de 19.12.2019.)
c) títulos emitidos por governos centrais de jurisdições estrangeiras e respectivos bancos centrais, desde que a classificação externa de risco da emissão, conferida por agência de classificação de risco de crédito registrada ou reconhecida no Brasil pela Comissão de Valores Mobiliários, seja igual ou superior a AA- ou classificação equivalente.
(Nota: Incluída, a partir de 01.01.2020, pela Resolução nº 4.769, de 19.12.2019.)
§ 1º A aquisição de títulos e valores mobiliários de que trata esta Subseção fica limitada aos ativos considerados, pelo gestor, de baixo risco de crédito.
§ 2º Excetuam-se do disposto no § 1º os títulos públicos federais de emissão de responsabilidade da União emitidos no exterior.
§ 3º Os títulos e valores mobiliários emitidos no exterior, de que tratam a alínea “a” do inciso I e os incisos III e IV do caput, devem estar registrados em sistema de registro e depósito centralizado, em central de custódia, ou regularmente escriturados, em todos os casos, em instituições autorizadas por autoridade competente no país onde é realizado o investimento ou em instituições de que trata o art. 4º, conforme regulação específica.
(Nota: Redação dada, a partir de 01.01.2020, pela Resolução nº 4.769, de 19.12.2019.)
§ 4º O sistema de registro, escrituração, custódia ou depósito central de que trata o § 3º deve permitir a identificação do investimento realizado pela sociedade seguradora, sociedade de capitalização, entidade aberta de previdência complementar ou pelo ressegurador local, com a consequente segregação do patrimônio do agente de registro, escrituração, custódia e liquidação.
Subseção V
Da Modalidade Outros
Art. 12. Na aplicação dos recursos de que trata este Regulamento, devem ser observados os seguintes limites e ativos admitidos:
I - até 100% (cem por cento) no somatório dos seguintes ativos:
a) cotas de fundos de investimento classificados como Multimercado, constituídos sob a forma de condomínio aberto, ou cotas de fundos de investimento em cotas de fundos de investimento com tais características (Fundos Multimercado), nas formas regulamentadas pela Comissão de Valores Mobiliários; e
b) COE com Valor Nominal Protegido;
II - até 75% (setenta e cinco por cento) no somatório dos seguintes ativos:
(Nota: Redação dada, a partir de 01.01.2020, pela Resolução nº 4.769, de 19.12.2019.)
a) cotas de Fundos de Investimento em Participações (FIPs) qualificados como Entidades de Investimento, nas formas regulamentadas pela Comissão de Valores Mobiliários; e
(Nota: Incluída, a partir de 01.01.2020, pela Resolução nº 4.769, de 19.12.2019.)
b) cotas de Fundos de Investimento classificados como “Ações - Mercado de Acesso”, observada a regulamentação estabelecida pela Comissão de Valores Mobiliários;
(Nota: Incluída, a partir de 01.01.2020, pela Resolução nº 4.769, de 19.12.2019.)
III - até 25% (vinte e cinco por cento) no somatório dos seguintes ativos:
a) COE com Valor Nominal em Risco;
b) certificados de Reduções Certificadas de Emissão (RCE) ou de créditos de carbono do mercado voluntário, admitidos à negociação em bolsa de valores, mercadorias e futuros ou mercado de balcão organizado, registrados ou depositados, respectivamente, em entidade registradora ou depositário central, autorizados pelo Banco Central do Brasil ou pela Comissão de Valores Mobiliários nas suas respectivas áreas de competência, para desempenhar as referidas atividades; e
c) (Nota: Revogado, a partir de 01.01.2020, pela Resolução nº 4.769, de 19.12.2019.)
§ 1º (Nota: Revogado, a partir de 01.01.2020, pela Resolução nº 4.769, de 19.12.2019.)
§ 2º (Nota: Revogado, a partir de 01.01.2020, pela Resolução nº 4.769, de 19.12.2019.)
§ 3º Não serão classificados nesta modalidade cotas de fundos classificados como “Multimercado” cuja política de investimento permita a compra de ativos ou derivativos com risco cambial e os COEs referenciados em taxas de câmbio ou variação cambial.
(Nota: Redação dada, a partir de 01.01.2020, pela Resolução nº 4.769, de 19.12.2019.)
§ 4º O FIP deve prever em seu regulamento a determinação de que o gestor do fundo de investimento, ou gestoras ligadas ao seu respectivo grupo econômico, mantenha, no mínimo, 3% (três por cento) do capital subscrito do fundo.
(Nota: Incluído, a partir de 01.01.2020, pela Resolução nº 4.769, de 19.12.2019.)
§ 5º É vedada a inserção de cláusula no regulamento do FIP que estabeleça preferência, privilégio ou tratamento diferenciado de qualquer natureza ao gestor e/ou pessoas ligadas em relação aos demais cotistas.
(Nota: Incluído, a partir de 01.01.2020, pela Resolução nº 4.769, de 19.12.2019.)
Seção III
Dos Limites de Alocação por Modalidade para cada Segmento
Art. 13. As sociedades seguradoras, as sociedades de capitalização, as entidades abertas de previdência complementar e os resseguradores locais deverão aplicar os recursos de que trata este Regulamento, conforme cada um dos segmentos e limites máximos por modalidade a seguir:
I - aplicações de planos abertos de previdência complementar e de seguros de pessoas com cobertura por sobrevivência, cuja remuneração esteja calcada na rentabilidade de carteiras de investimentos durante o prazo de diferimento:
a) na modalidade Renda Fixa: até 100% (cem por cento), observados os limites do art. 8º e da Seção IV deste Capítulo;
b) na modalidade Renda Variável: até 70% (setenta por cento), observados os limites do art. 9º e da Seção IV deste Capítulo;
c) na modalidade Imóveis: até 20% (vinte por cento), observados os limites do art. 10 e da Seção IV deste Capítulo;
d) na modalidade Investimentos Sujeitos à Variação Cambial: até 20% (vinte por cento), observados os limites do art. 11 e da Seção IV deste Capítulo; e
(Nota: Redação dada, a partir de 01.01.2020, pela Resolução nº 4.769, de 19.12.2019.)
e) na modalidade outros: até 20% (vinte por cento), observados os limites do art. 12 e da Seção IV deste Capítulo;
II - aplicações de planos abertos de previdência complementar e de seguros de pessoas com cobertura por sobrevivência, cuja remuneração esteja calcada na rentabilidade de carteiras de investimentos durante o prazo de diferimento, destinados exclusivamente a Participantes Qualificados na forma definida pelo Conselho Nacional de Seguros Privados:
a) na modalidade Renda Fixa: até 100% (cem por cento), observados os limites do art. 8º e da Seção IV deste Capítulo;
b) na modalidade Renda Variável: até 100% (cem por cento), observados os limites do art. 9º e da Seção IV deste Capítulo;
c) na modalidade Imóveis: até 40% (quarenta por cento), observados os limites do art. 10 e da Seção IV deste Capítulo;
d) na modalidade Investimentos Sujeitos à Variação Cambial: até 40% (quarenta por cento), observados os limites do art. 11 e da Seção IV deste Capítulo; e
(Nota: Redação dada, a partir de 01.01.2020, pela Resolução nº 4.769, de 19.12.2019.)
e) na modalidade outros: até 40% (quarenta por cento), observados os limites do art. 12 e da Seção IV deste Capítulo;
III - aplicações das sociedades seguradoras e de resseguradores locais vinculadas às operações em moeda estrangeira e de seguros de crédito à exportação:
a) na modalidade Renda Fixa: até 100% (cem por cento), observados os limites do art. 8º e da Seção IV deste Capítulo;
b) na modalidade Renda Variável: até 49% (quarenta e nove por cento), observados os limites do art. 9º e da Seção IV deste Capítulo;
c) na modalidade Imóveis: até 20% (vinte por cento), observados os limites do art. 10 e da Seção IV deste Capítulo;
d) na modalidade Investimentos Sujeitos à Variação Cambial: até 100% (cem por cento), observados os limites do art. 11 e da Seção IV deste Capítulo; e
e) na modalidade outros: até 20% (vinte por cento), observados os limites do art. 12 e da Seção IV deste Capítulo;
IV - demais aplicações de que trata este Regulamento, não relacionadas nos incisos I a III:
a) na modalidade Renda Fixa: até 100% (cem por cento), observados os limites do art. 8º e da Seção IV deste Capítulo;
b) na modalidade Renda Variável: até 49% (quarenta e nove por cento), observados os limites do art. 9º e da Seção IV deste Capítulo;
c) na modalidade Imóveis: até 20% (vinte por cento), observados os limites do art. 10 e da Seção IV deste Capítulo;
d) na modalidade Investimentos Sujeitos à Variação Cambial: até 10% (dez por cento), observados os limites do art. 11 e da Seção IV deste Capítulo; e
(Nota: Redação dada, a partir de 22.05.2016, pela Resolução nº 4.484, de 06.05.2016.)
e) na modalidade outros: até 20% (vinte por cento), observados os limites do art. 12 e da Seção IV deste Capítulo.
Seção IV
Dos Limites por Emissor e Investimento
Subseção I
Dos Limites de Alocação por Emissor
Art. 14. Na aplicação dos recursos de que trata esta Resolução, devem ser observados os seguintes limites:
(Nota: Redação dada, a partir de 22.05.2016, pela Resolução nº 4.484, de 06.05.2016.)
I - até 100% (cem por cento) se os emissores forem:
(Nota: Redação dada, a partir de 01.01.2020, pela Resolução nº 4.769, de 19.12.2019.)
a) a União;
(Nota: Incluída, a partir de 01.01.2020, pela Resolução nº 4.769, de 19.12.2019.)
b) fundos de que trata a alínea “c” do inciso I do caput do art. 8º; e
(Nota: Incluída, a partir de 01.01.2020, pela Resolução nº 4.769, de 19.12.2019.)
c) fundos de investimento especialmente constituídos de que tratam os arts. 17 a 19-A;
(Nota: Incluída, a partir de 01.01.2020, pela Resolução nº 4.769, de 19.12.2019.)
II - até 49% (quarenta e nove por cento) se o emissor for:
a) fundo de investimento;
(Nota: Redação dada, a partir de 22.05.2016, pela Resolução nº 4.484, de 06.05.2016.)
b) fundo de índice;
III - até 25% (vinte e cinco por cento) se o emissor for instituição financeira;
IV - até 15% (quinze por cento) se o emissor for:
(Nota: Redação dada pela Resolução nº 4.449, de 20.11.2015.)
a) companhia aberta não relacionada no inciso III;
(Nota: Redação dada, a partir de 22.05.2016, pela Resolução nº 4.484, de 06.05.2016.)
b) SPE, no caso das debêntures de infraestrutura mencionadas na alínea “b” do inciso II do art. 8º;
(Nota: Redação dada pela Resolução nº 4.449, de 20.11.2015.)
V - até 10% (dez por cento) se o emissor for:
a) organizações financeiras internacionais;
b) companhia securitizadora;
c) FIDC e FICFIDC;
(Nota: Redação dada, a partir de 22.05.2016, pela Resolução nº 4.484, de 06.05.2016.)
d) FII e FICFII;
(Nota: Redação dada, a partir de 01.01.2020, pela Resolução nº 4.769, de 19.12.2019.)
e) SPE;
(Nota: Redação dada, a partir de 01.01.2020, pela Resolução nº 4.769, de 19.12.2019.)
f) FIP; e
(Nota: Incluída, a partir de 01.01.2020, pela Resolução nº 4.769, de 19.12.2019.)
g) Fundos de Investimento classificados como “Ações - Mercado Acesso”;
(Nota: Incluída, a partir de 01.01.2020, pela Resolução nº 4.769, de 19.12.2019.)
VI - até 5% (cinco por cento) se o emissor não estiver incluído nos incisos I a V.
§ 1º Considera-se como um único emissor, para efeito deste artigo, as companhias controladas pelos mesmos tesouros estaduais ou municipais, bem como as entidades que sejam partes relacionadas, conforme § 3º do art. 3º.
§ 2º Para cômputo dos limites definido no inciso III deste artigo, será considerada como emissora a instituição financeira com coobrigações de sua responsabilidade.
§ 3º Para fins de verificação do limite estabelecido na alínea “b” do inciso V, nos casos de emissões de certificados de recebíveis com a instituição de regime fiduciário, considera- se como emissor cada patrimônio separado constituído com a adoção do referido regime.
§ 4º A parcela de recursos de Renda Variável dos planos abertos de previdência complementar e de seguros de pessoas com cobertura por sobrevivência investida por meio dos fundos de investimento de que trata o Capítulo IV (FIE) nos FIEs de ações cuja carteira contenha ações integrantes de índice de mercado que seja referência para a sua política de investimentos fica dispensada de observar os limites previstos nos incisos III e IV deste artigo, desde que respeitada a proporção de participação de cada ação na composição do respectivo índice.
(Nota: Incluído, a partir de 22.05.2016, pela Resolução nº 4.484, de 06.05.2016.)
Subseção II
Dos Limites de Concentração por Emissor
Art. 15. Na aplicação dos recursos de que trata este Regulamento, devem ser observados os seguintes limites:
I - até 25% (vinte e cinco por cento) do patrimônio líquido de um mesmo:
a) FIDC e FICFIDC;
b) FII e FICFII; e
(Nota: Redação dada, a partir de 01.01.2020, pela Resolução nº 4.769, de 19.12.2019.)
c) FIP;
(Nota: Redação dada, a partir de 01.01.2020, pela Resolução nº 4.769, de 19.12.2019.)
d) (Nota: Revogado, a partir de 01.01.2020, pela Resolução nº 4.769, de 19.12.2019.)
e) (Nota: Revogada, a partir de 22.05.2016, pela Resolução nº 4.484, de 06.05.2016.)
II - até 25% (vinte e cinco por cento) do patrimônio separado constituído pela totalidade dos créditos submetidos ao regime fiduciário que lastreiam a emissão de um mesmo certificado de recebíveis;
(Nota: Redação dada, a partir de 22.05.2016, pela Resolução nº 4.484, de 06.05.2016.)
III - até 20% (vinte por cento):
a) do capital total de uma mesma companhia aberta;
b) do capital votante de uma mesma companhia aberta; e
c) do patrimônio líquido de uma mesma instituição financeira.
(Nota: Inciso III incluído, a partir de 22.05.2016, pela Resolução nº 4.484, de 06.05.2016.)
Parágrafo único. Para fins de verificação da observância dos limites de que tratam as alíneas “a” e “b” do inciso III, deve ser adicionado, ao total de ações, o total de bônus de subscrição, recibos de subscrição e certificados de depósitos de ações de uma mesma companhia, as cotas de fundos de investimento e as cotas de fundos de investimento em cotas de fundos de investimento classificados como fundos de ações que tenham como objetivo investir em uma única companhia, ou grupo financeiro ou econômico.
(Nota: Redação dada, a partir de 22.05.2016, pela Resolução nº 4.484, de 06.05.2016.)
Subseção III
Dos Limites de Alocação por Investimento
Art. 16. Na aplicação de recursos de que trata este Regulamento, deve ser o observado o limite de 25% (vinte e cinco por cento) de uma mesma classe ou série de títulos ou valores mobiliários.
§ 1º Excetuam-se deste artigo:
I - títulos da dívida pública mobiliária federal;
II - créditos securitizados pela Secretaria do Tesouro Nacional;
III - ações, bônus de subscrição de ações e recibos de subscrição de ações; e
IV - debêntures de infraestrutura mencionadas na alínea “b” do inciso II do art. 8º.
(Nota: Incluído pela Resolução nº 4.449, de 20.11.2015.)
§ 2º Somente será permitida a alocação de no máximo 5% (cinco por cento) de um mesmo COE com Valor Nominal em Risco.
CAPÍTULO IV
DOS FUNDOS DE INVESTIMENTO ESPECIALMENTE CONSTITUÍDOS (FIE)
Art. 17. A aplicação dos recursos de planos abertos de previdência complementar e de seguros de pessoas com cobertura por sobrevivência, estruturados na modalidade de contribuição variável, cuja remuneração esteja calcada na rentabilidade de carteiras de investimentos deve ser feita, durante o prazo de diferimento, sempre em cotas de fundos de investimento especialmente constituídos, sob forma de condomínio aberto, dos quais as sociedades seguradoras e as entidades abertas de previdência complementar sejam, direta ou indiretamente, os únicos cotistas (FIEs).
(Nota: Redação dada, a partir de 01.01.2020, pela Resolução nº 4.769, de 19.12.2019.)
§ 1º (Nota: Revogado, a partir de 01.01.2020, pela Resolução nº 4.769, de 19.12.2019.)
§ 2º Os FIEs de planos destinados aos Participantes Qualificados, na forma definida pelo Conselho Nacional de Seguros Privados, devem ser exclusivos para esse tipo de participante.
(Nota: Redação dada, a partir de 01.01.2020, pela Resolução nº 4.769, de 19.12.2019.)
§ 3º (Nota: Revogado, a partir de 01.01.2020, pela Resolução nº 4.769, de 19.12.2019.)
§ 4º (Nota: Revogado, a partir de 01.01.2020, pela Resolução nº 4.769, de 19.12.2019.)
§ 5º (Nota: Revogado, a partir de 01.01.2020, pela Resolução nº 4.769, de 19.12.2019.)
§ 6º (Nota: Revogado, a partir de 01.01.2020, pela Resolução nº 4.769, de 19.12.2019.)
§ 7º (Nota: Revogado, a partir de 01.01.2020, pela Resolução nº 4.769, de 19.12.2019.)
Art. 18. A aplicação dos recursos de planos abertos de previdência complementar e de seguros de pessoas, com cobertura por sobrevivência, deve ser feita, durante o(s) períodos(s) em que prevista contratualmente a reversão de resultados financeiros, sempre em cotas de fundos de investimento especialmente constituídos, sob a forma de condomínio aberto, dos quais as sociedades seguradoras e as entidades abertas de previdência complementar sejam, direta ou indiretamente, os únicos cotistas (FIEs).
Parágrafo único. Para os planos abertos de previdência complementar e de seguros de pessoas com previsão contratual de reversão de resultados financeiros aprovados anteriormente a 1º de novembro de 2002 que não prevejam contratualmente a aplicação da totalidade dos recursos da provisão matemática de benefícios a conceder em quotas de fundo de investimento especialmente constituído, o disposto neste artigo se aplica facultativamente.
(Nota: Artigo 18 com redação dada, a partir de 01.01.2020, pela Resolução nº 4.769, de 19.12.2019.)
Art. 19. A aplicação dos recursos de planos abertos de previdência complementar e de seguros de pessoas, com cobertura por sobrevivência, que não prevejam contratualmente a reversão de resultados financeiros durante o período de concessão de benefícios, pode ser feita, neste período, em cotas de FIE.
(Nota: Redação dada, a partir de 01.01.2020, pela Resolução nº 4.769, de 19.12.2019.)
Parágrafo único. (Nota: Revogado, a partir de 01.01.2020, pela Resolução nº 4.769, de 19.12.2019.)
§ 1º O disposto no caput não se aplica a planos abertos de previdência complementar e de seguros de pessoas sem previsão de reversão de resultados financeiros aprovados anteriormente a 1º de novembro de 2002 que não prevejam contratualmente a aplicação da totalidade dos recursos da provisão matemática de benefícios a conceder em quotas de fundo de investimento especialmente constituído.
(Nota: Incluído, a partir de 01.01.2020, pela Resolução nº 4.769, de 19.12.2019.)
§ 2º O FIE destinado à aplicação dos recursos referidos no caput, deve ser distinto dos FIEs constituídos para receber os recursos referidos nos arts. 17, 18 e 19-A.
(Nota: Incluído, a partir de 01.01.2020, pela Resolução nº 4.769, de 19.12.2019.)
Art. 19-A. A aplicação dos recursos de seguros de pessoas que possuam exclusivamente cobertura de risco, caso o Conselho Nacional de Seguros Privados defina que devam ser aplicados em fundos de investimento especialmente constituídos, deverá seguir as mesmas regras estabelecidas para a aplicação em cotas de FIE dos recursos de seguros de pessoas com cobertura por sobrevivência.
Parágrafo único. O FIE destinado à aplicação dos recursos referidos no caput, deve ser distinto dos FIEs constituídos para receber os recursos referidos nos arts. 17, 18 e 19.
(Nota: Artigo 19-A incluído, a partir de 01.01.2020, pela Resolução nº 4.769, de 19.12.2019.)
Art. 19-B. As seguintes disposições se aplicam aos arts. de 17 a 19-A:
I - os recursos dos FIEs de que tratam os arts. de 17 a 19-A podem ser aplicados em cotas de fundos de investimento especialmente constituídos para acolher tais recursos, sob a forma de condomínio aberto (FIFEs);
II - os FIEs serão classificados como:
a) FIE Tipo I (FIE-I): somente poderão ter como cotistas as sociedades seguradoras e as entidades abertas de previdência complementar; ou
b) FIE Tipo II (FIE-II): somente poderão ter como cotistas os FIEs-I;
III - os FIFEs somente poderão ter como cotistas FIEs;
IV - cada FIE, individualmente, deve observar o disposto no Capítulo III;
V - para efeito do cômputo dos limites referidos neste Regulamento, as carteiras dos FIEs são consideradas como sendo a composição de sua carteira própria e das carteiras de todos os FIFEs nos quais investe, ponderadas pela participação dos mesmos nos seus patrimônios líquidos;
VI - as carteiras dos FIFEs devem ser compostas exclusivamente pelos ativos contemplados no Capítulo III, não se lhes aplicando os limites previstos nesse mesmo Capítulo e no art. 22 deste Regulamento.
(Nota: Artigo 19-B incluído, a partir de 01.01.2020, pela Resolução nº 4.769, de 19.12.2019.)
CAPÍTULO V
DOS DERIVATIVOS
Art. 20. É facultada aos fundos de investimento especialmente constituídos de que tratam os arts. 17 a 19-A e a alínea “c” do inciso I do caput do art. 8º deste Regulamento a realização de operações por meio de contratos derivativos.
(Nota: Redação dada, a partir de 01.01.2020, pela Resolução nº 4.769, de 19.12.2019.)
Art. 21. A atuação do FIE ou FIFE em mercados de derivativos:
(Nota: Redação dada, a partir de 01.01.2020, pela Resolução nº 4.769, de 19.12.2019.)
I - deverá observar a avaliação prévia dos riscos envolvidos;
(Nota: Redação dada, a partir de 01.01.2020, pela Resolução nº 4.769, de 19.12.2019.)
II - estará condicionada à existência de sistemas de controles adequados às suas operações;
(Nota: Redação dada, a partir de 01.01.2020, pela Resolução nº 4.769, de 19.12.2019.)
III - não pode gerar, a qualquer tempo, a possibilidade de perda superior ao valor do patrimônio líquido do fundo de investimento;
(Nota: Redação dada, a partir de 01.01.2020, pela Resolução nº 4.769, de 19.12.2019.)
IV - não pode gerar, a qualquer tempo, a possibilidade de que o cotista seja obrigado a aportar recursos adicionais para cobrir o prejuízo do fundo;
(Nota: Redação dada, a partir de 01.01.2020, pela Resolução nº 4.769, de 19.12.2019.)
V - não pode realizar operações de venda de opção a descoberto; e
(Nota: Redação dada, a partir de 01.01.2020, pela Resolução nº 4.769, de 19.12.2019.)
VI - não pode ser realizada sem garantia da contraparte central da operação.
(Nota: Incluído, a partir de 01.01.2020, pela Resolução nº 4.769, de 19.12.2019.)
§ 1º Os contratos derivativos devem ser registrados, compensados e liquidados financeiramente em sistemas autorizados pelo Banco Central do Brasil ou pela Comissão de Valores Mobiliários, nas suas respectivas áreas de competência, e que tenham convênio com a Superintendência de Seguros Privados.
(Nota: Redação dada, a partir de 01.01.2020, pela Resolução nº 4.769, de 19.12.2019.)
§ 2º Os sistemas de registro, compensação e liquidação de que trata o § 1º deve permitir a identificação do contrato derivativo realizado.
§ 3º A sociedade seguradora, a sociedade de capitalização, a entidade aberta de previdência complementar e o ressegurador local devem informar à Superintendência de Seguros Privados, quando solicitados, as características, as contrapartes, os prêmios pagos, as margens depositadas, bem como a exposição dos contratos derivativos celebrados.
§ 4º A exposição resultante da utilização de instrumentos derivativos deve ser considerada para fins de enquadramento da carteira dos fundos de investimento especialmente constituídos de que tratam os arts. 17 a 19-A, observados os requisitos dos ativos, os limites de alocação por modalidade e segmento, os limites por emissor e investimento e os prazos de que trata o presente Regulamento.
(Nota: Redação dada, a partir de 01.01.2020, pela Resolução nº 4.769, de 19.12.2019.)
§ 5º A utilização de instrumentos derivativos por FIE e FIFE está condicionada a que seu regulamento contenha cláusulas específicas explicitando as disposições previstas nos incisos I a VI do caput.
(Nota: Incluído, a partir de 01.01.2020, pela Resolução nº 4.769, de 19.12.2019.)
Art. 21-A. As posições do FIE ou FIFE em mercados derivativos devem observar as seguintes condições:
I - margem requerida limitada a 15% (quinze por cento) do valor do patrimônio líquido de cada FIE ou FIFE; e
II - valor total dos prêmios de opções pagos limitado a 5% (cinco por cento) do valor do patrimônio líquido de cada FIE ou FIFE.
Parágrafo único. No cômputo do limite de que trata o inciso II do caput, no caso de operações com opções que tenham, cumulativamente, a mesma quantidade, o mesmo ativo subjacente, o mesmo vencimento e em que o prêmio represente a perda máxima da operação, deverá ser considerado o valor dos prêmios pagos deduzido do valor dos prêmios recebidos.
(Nota: Artigo 21-A incluído, a partir de 01.01.2020, pela Resolução nº 4.769, de 19.12.2019.)
CAPÍTULO VI
DAS OPERAÇÕES COMPROMISSADAS
Art. 22. É facultada aos fundos de investimento especialmente constituídos de que tratam os arts. 17 a 19-A e a alínea “c” do inciso I do caput do art. 8º a realização de operações de compra de títulos de renda fixa com compromisso de revenda, conjugado com o compromisso de recompra assumido pelo vendedor, para data futura preestabelecida (operação compromissada).
(Nota: Redação dada, a partir de 01.01.2020, pela Resolução nº 4.769, de 19.12.2019.)
§ 1º As operações de que tratam o caput ficam limitadas a 25% (vinte e cinco por cento) do patrimônio líquido de cada fundo de investimento especialmente constituído de que tratam os arts. 17, 18 e 19-A.
(Nota: Redação dada, a partir de 01.01.2020, pela Resolução nº 4.769, de 19.12.2019.)
§ 2º Os títulos de renda fixa recebidos como lastro na realização da operação compromissada devem ser considerados para fins de enquadramento da carteira do fundo nas modalidades, requisitos, condições ou limites definidos neste Regulamento.
§ 3º As operações compromissadas devem ser registradas e liquidadas em instituição autorizada pelo Banco Central do Brasil ou pela Comissão de Valores Mobiliários, nas suas respectivas áreas de competência.
§ 4º A instituição de que trata o § 3º deve permitir a identificação da operação compromissada realizada.
§ 5º A realização das operações de que trata o caput fica condicionada à prévia autorização da Superintendência de Seguros Privados, em conformidade com o que determina o art. 85 do Decreto-Lei nº 73, de 21 de novembro de 1966.
§ 6º As operações compromissadas realizadas pelos fundos de investimento especialmente constituídos de que trata o a alínea “c” do inciso I do caput do art. 8º deverão ser lastreadas obrigatoriamente pelos títulos referidos nas alíneas “a” e “b” do inciso I do caput do art. 8º.
(Nota: Incluído, a partir de 01.01.2020, pela Resolução nº 4.769, de 19.12.2019.)
CAPÍTULO VII
DOS PRAZOS DOS FUNDOS DE INVESTIMENTO ESPECIALMENTE CONSTITUÍDOS
Seção I
Dos Prazos
Art. 23. O conjunto dos ativos de renda fixa dos fundos de investimento especialmente constituídos de que tratam os arts. 17 a 19-A, de uma mesma sociedade seguradora ou entidade aberta de previdência complementar, deverá apresentar prazo médio remanescente mínimo de 1.095 (mil e noventa e cinco) dias corridos.
(Nota: Redação dada, a partir de 01.01.2020, pela Resolução nº 4.769, de 19.12.2019.)
I - (Nota: Revogado, a partir de 01.01.2020, pela Resolução nº 4.769, de 19.12.2019.)
II - (Nota: Revogado, a partir de 01.01.2020, pela Resolução nº 4.769, de 19.12.2019.)
§ 1º As métricas e definições necessárias para cômputo das regras de enquadramento previstas no caput observarão o disposto na Seção II deste Capítulo.
§ 2º Para fins de verificação do prazo de que trata o caput deste artigo, deverá ser utilizada a média aritmética dos valores diariamente observados, no mínimo, no período referente aos últimos 63 (sessenta e três) dias úteis antecedentes ao dia de referência.
(Nota: Redação dada, a partir de 01.01.2020, pela Resolução nº 4.769, de 19.12.2019.)
§ 3º Os administradores dos fundos de que trata o caput, quando solicitados pela Superintendência de Seguros Privados, deverão informar o prazo de que trata o caput.
(Nota: Redação dada, a partir de 01.01.2020, pela Resolução nº 4.769, de 19.12.2019.)
§ 4º (Nota: Revogado, a partir de 01.01.2020, pela Resolução nº 4.769, de 19.12.2019.)
I - até 29 de junho de 2018, apresentar prazo médio de repactuação mínimo de 730 (setecentos e trinta) dias corridos;
(Nota: Redação dada pela Resolução nº 4.670, de 14.06.2018.)
II - a partir de 30 de junho de 2018, apresentar prazo médio de repactuação mínimo de 548 (quinhentos e quarenta e oito) dias corridos;
(Nota: Redação dada pela Resolução nº 4.670, de 14.06.2018.)
III - a partir de 30 de novembro de 2018, apresentar prazo médio de repactuação mínimo de 365 (trezentos e sessenta e cinco) dias corridos;
(Nota: Redação dada pela Resolução nº 4.670, de 14.06.2018.)
IV - a partir de 30 de abril de 2019, apresentar prazo médio de repactuação mínimo de 183 (cento e oitenta e três) dias corridos;
(Nota: Redação dada pela Resolução nº 4.670, de 14.06.2018.)
V - a partir de 30 de agosto de 2019, não será mais exigido prazo médio de repactuação.
(Nota: Redação dada pela Resolução nº 4.670, de 14.06.2018.)
Seção II
Das Métricas e Definições para Cômputo dos Prazos dos Fundos de Investimento Especialmente Constituídos
Art. 24. Para efeito do cálculo dos prazos de que trata o art. 23, devem ser consideradas as operações compromissadas de que trata o art. 22 e os ativos de que trata o art. 8º, com exceção do ativo listado na alínea “d” do inciso IV do caput do art. 8º, as debêntures de renda fixa conversíveis ou permutáveis em ações de que trata a alínea “c” do inciso IV do caput do art. 9º e a alínea “a” do inciso I do caput do art. 12, integrantes das carteiras dos fundos de investimento especialmente constituídos de que tratam os arts. 17 a 19-A.
(Nota: Redação dada, a partir de 01.01.2020, pela Resolução nº 4.769, de 19.12.2019.)
Parágrafo único. Para o cômputo do prazo médio remanescente das aplicações em fundos de investimento, de que tratam as alíneas “c” e “d” do inciso I e as alíneas “b” e “c” do inciso III do caput do art. 8º deste Regulamento, devem ser considerados os ativos finais utilizados no cálculo dos prazos de que trata o art. 23, conforme disposto no caput.
(Nota: Redação dada, a partir de 01.01.2020, pela Resolução nº 4.769, de 19.12.2019.)
Art. 25. Para fins do disposto no inciso I do art. 23, o prazo médio remanescente da carteira é dado pelo prazo médio remanescente, em dias corridos, ponderado pelos respectivos valores financeiros:
I - dos títulos de renda fixa; e
II - das operações compromissadas.
§ 1º Para efeito do disposto no inciso I do caput devem ser considerados os ativos de renda fixa especificados no art. 24.
§ 2º Os títulos de renda fixa recebidos como lastro de operações compromissadas devem ser desconsiderados no cálculo de que trata o caput.
§ 3º O prazo médio remanescente de um título de renda fixa é dado pela média dos prazos de cada vencimento de principal e de juros, ponderada pelos respectivos valores nominais na data de apuração do prazo médio da carteira, sem considerar qualquer projeção de índice.
§ 4º O prazo de cada vencimento de principal e juros é dado pelo prazo remanescente de cada evento financeiro, entendido como sendo o número de dias corridos entre a data de apuração do prazo médio da carteira e a data de cada vencimento, excluindo-se da sua contagem a data de apuração e incluindo-se a de vencimento.
§ 5º O prazo médio remanescente da operação compromissada é entendido como sendo o número de dias corridos entre a data de apuração do prazo médio da carteira e a data de vencimento da operação, excluindo-se da sua contagem a data de apuração e incluindo-se a de vencimento.
§ 6º O valor financeiro de que trata o caput é dado pelo valor contábil, diariamente avaliado.
Art. 26. (Nota: Revogado, a partir de 01.01.2020, pela Resolução nº 4.769, de 19.12.2019.)
Art. 27. (Nota: Revogado, a partir de 01.01.2020, pela Resolução nº 4.769, de 19.12.2019.)
Seção III
Das Fórmulas Para Cálculo do Prazo Médio Remanescente da Carteira de Renda Fixa dos Fundos de Investimento Especialmente Constituídos
(Nota: Redação dada, a partir de 01.01.2020, pela Resolução nº 4.769, de 19.12.2019.)
Art. 28. Para o cômputo do prazo de que trata o art. 25 deste Regulamento, devem ser consideradas as seguintes fórmulas:
(Nota: Redação dada, a partir de 01.01.2020, pela Resolução nº 4.769, de 19.12.2019.)
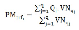
I - prazo médio remanescente de um título de renda fixa (PMtrfi), em dias corridos:

Em que:
q é a quantidade de eventos financeiros (juros ou principal) do título de renda fixa i;
Qj é o prazo remanescente de cada evento financeiro j (juros ou principal) do título de renda fixa i, dado em dias corridos; e
VNqj é o valor nominal de cada evento financeiro j (juros ou principal) do título de renda fixa i;
II - prazo médio remanescente da carteira de títulos de renda fixa (PMctrf), em dias corridos:

Em que:
m é a quantidade de títulos de renda fixa na carteira;
PMtrfi é o prazo médio remanescente do título de renda fixa i, apurado conforme os §§ 3º e 4º do art. 25, em dias corridos; e
VFtrfi é o valor financeiro do título de renda fixa i.
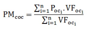
III - prazo médio remanescente da carteira de operações compromissadas (PMcoc), em dias corridos:

Em que:
n é a quantidade de operações compromissadas na carteira;
Poci é o prazo remanescente da operação compromissada i apurado conforme o § 5º do art. 25, em dias corridos; e
VFoci é o valor financeiro da operação compromissada i.
IV - prazo médio remanescente da carteira de renda fixa (PMR), em dias corridos:

V - (Nota: Revogado, a partir de 01.01.2020, pela Resolução nº 4.769, de 19.12.2019.)
VI - (Nota: Revogado, a partir de 01.01.2020, pela Resolução nº 4.769, de 19.12.2019.)
CAPÍTULO VII-A
DO DESENQUADRAMENTO PASSIVO DOS FUNDOS DE INVESTIMENTO ESPECIALMENTE CONSTITUÍDOS
(Nota: Capítulo VII-A incluído, a partir de 01.01.2020, pela Resolução nº 4.769, de 19.12.2019.)
Art. 28-A. Não serão considerados como inobservância aos limites estabelecidos nesta Resolução os desenquadramentos passivos decorrentes de:
I - oscilação dos valores dos ativos da carteira do FIE;
II - recebimento de ações em bonificação;
III - recebimento de bônus ou recibos de subscrição;
IV - exercício do direito de preferência; e
V - resgate de cotas do FIE.
§ 1º Os excessos referidos neste artigo devem ser eliminados no prazo de um ano da ocorrência do desenquadramento.
§ 2º Ficam impedidos, até o respectivo enquadramento, investimentos que agravem os excessos verificados.
(Nota: Artigo 28-A incluído, a partir de 01.01.2020, pela Resolução nº 4.769, de 19.12.2019.)
CAPÍTULO VIII
DOS RECURSOS EXIGIDOS NO PAÍS PARA A GARANTIA DAS OBRIGAÇÕES DE RESSEGURADOR ADMITIDO
Art. 29. Os recursos exigidos no País para a garantia das obrigações de ressegurador admitido, observadas as demais disposições vigentes, somente podem ser aplicados, isolada ou cumulativamente:
I - até 100% (cem por cento) em:
a) títulos públicos federais; e
b) FIE, cuja carteira seja composta exclusivamente por títulos públicos federais;
II - até 80% (oitenta por cento) em:
a) debêntures cuja oferta pública tenha sido registrada na Comissão de Valores Mobiliários, ou que tenha sido objeto de dispensa, emitidas por sociedades anônimas, com rating de baixo risco de crédito, concedido por agência classificadora de risco registrada ou reconhecida pela Comissão de Valores Mobiliários;
b) obrigações emitidas por organizações financeiras internacionais autorizadas a captar recursos no Brasil, com rating de baixo risco de crédito, concedido por agência classificadora de risco registrada ou reconhecida pela Comissão de Valores Mobiliários;
c) cotas de fundos de investimento, constituídos sob a forma de condomínio aberto, cuja carteira seja composta por pelo menos 80% (oitenta por cento) de ativos relacionados à variação de preços de moeda estrangeira ou à variação do cupom cambial, ou cotas de fundos de investimento em cotas de fundos de investimento com tais características (Fundo Cambial), conforme regulamentação estabelecida pela Comissão de Valores Mobiliários;
d) cotas de fundos de investimento de renda fixa, constituídos sob a forma de condomínio aberto, que tenha 80% (oitenta por cento), no mínimo, de seu patrimônio líquido representado por títulos representativos da dívida externa de responsabilidade da União, ou cotas de fundos de investimento em cotas de fundos de investimento com tais características (Fundo de Renda Fixa Dívida Externa), conforme regulamentação estabelecida pela Comissão de Valores Mobiliários;
e) cotas de fundos de investimento das classes Renda Fixa, Ações, Multimercado e Cambiais que incluam em sua denominação o sufixo “Investimento no Exterior”, constituídos sob a forma de condomínio aberto, ou cotas de fundos de investimento em cotas de fundos de investimento com tais características, conforme regulamentação estabelecida pela Comissão de Valores Mobiliários; e
f) cotas de fundos de investimento admitidas à negociação no mercado secundário por intermédio de bolsa de valores, no Brasil, cujas carteiras sejam compostas por ativos financeiros que busquem refletir as variações de índices de referência em renda fixa ou renda variável no exterior, desde que registrados na Comissão de Valores Mobiliários (Fundo de Índice em Investimento no Exterior).
Parágrafo único. Aplicam-se, no que couber, os requisitos de que trata a Seção IV do Capítulo III deste Regulamento.
CAPÍTULO IX
DAS VEDAÇÕES
Art. 30. Não serão aceitas aplicações de que trata este Regulamento em:
I - títulos ou valores mobiliários de emissão ou coobrigação de pessoas físicas;
(Nota: Redação dada, a partir de 01.01.2020, pela Resolução nº 4.769, de 19.12.2019.)
II - ações de companhia aberta admitidas à negociação em mercado de balcão organizado credenciado pela Comissão de Valores Mobiliários que não pertençam a índice de mercado de balcão organizado, ou que não tenham pertencido ao mesmo índice no mês anterior, bem como os respectivos bônus de subscrição, recibos de subscrição, certificados de depósitos de ações ou quaisquer títulos ou valores mobiliários conversíveis em ações ou cujo exercício dê direito ao recebimento ou aquisição de ações;
(Nota: Redação dada, a partir de 01.01.2020, pela Resolução nº 4.769, de 19.12.2019.)
III - carteiras administradas por pessoas físicas ou fundos de investimentos cujas carteiras sejam administradas por pessoas físicas; e
(Nota: Incluído, a partir de 01.01.2020, pela Resolução nº 4.769, de 19.12.2019.)
IV - cotas de fundos de investimentos que não possuam procedimentos de avaliação e de mensuração de risco da carteira de investimentos.
(Nota: Incluído, a partir de 01.01.2020, pela Resolução nº 4.769, de 19.12.2019.)
CAPÍTULO X
DAS DISPOSIÇÕES TRANSITÓRIAS
Art. 31. (Nota: Revogado, a partir de 01.01.2020, pela Resolução nº 4.769, de 19.12.2019.)
Art. 32. (Nota: Revogado, a partir de 01.01.2020, pela Resolução nº 4.769, de 19.12.2019.)
Art. 33. As operações de FIEs e FIFEs em mercados de derivativos que tenham sido realizadas anteriormente ao início da vigência deste Regulamento e não atendam ao disposto no art. 21 poderão ser mantidas até o vencimento.
(Nota: Incluído, a partir de 01.01.2020, pela Resolução nº 4.769, de 19.12.2019.)
Art. 34. Fica estabelecido o prazo de 31 de dezembro de 2020 para:
I - enquadramento dos FIEs à regra definida no inciso II do caput do art. 19-B deste Regulamento; e
II - alterações em regulamentos de fundos, para atendimento ao disposto neste Regulamento.
Parágrafo único. Nos casos de FIE ou FIFE que, na data estabelecida no caput deste artigo, ainda possua operações previstas no art. 33 deste Regulamento, o prazo para as alterações mencionadas no inciso II do caput, especificamente para atendimento ao disposto no
§ 5º do art. 21 deste Regulamento, fica automaticamente prorrogado para 3 (três) meses após o vencimento ou encerramento da última dessas operações.
(Nota: Artigo 34 incluído, a partir de 01.01.2020, pela Resolução nº 4.769, de 19.12.2019.)